Castlefields Golf Club
Castlefields Golf Club
  • Sign In
  • Create Account

  • My Account
  • Signed in as:

  • filler@godaddy.com


  • My Account
  • Sign out

Signed in as:

filler@godaddy.com

  • Home
  • SafeGolf
  • Programme
  • Officials
  • Thompson Gold
    • Thompson Gold
    • Thompson Gold Tigers
    • Thompson Gold Rabbits
  • Latest Results
  • AGM
  • Online Tee Booking
  • Play Safe - Stay Safe
  • Membership Details
  • Competition Guidance
  • Members' Area
  • World Handicap System
  • Score Entry
  • Local Rules
  • Peter Thompson 90th
  • PJT90 Results
  • Respect in Golf
  • Winter League
  • 1903 Club

Account


  • My Account
  • Sign out


  • Sign In
  • My Account

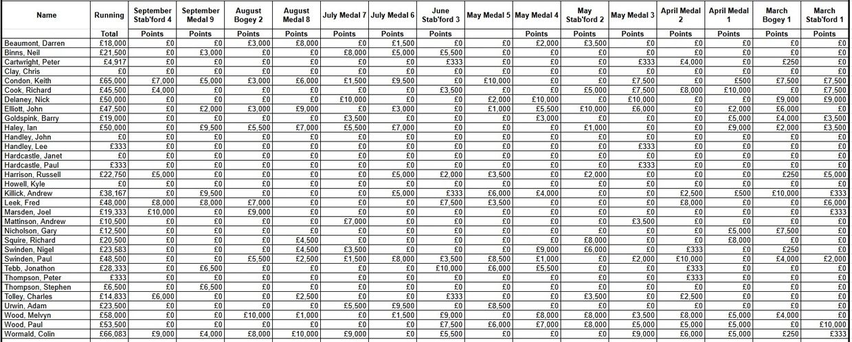
Rabbits (Initial WHS Index 21.3 or higher)

Copyright © 2026 Castlefields Golf Club - All Rights Reserved.

  • SafeGolf

Powered by